可补偿PAV系列产品从输出端子到负载端子配线所引起的电压降低。
特长
标准配备通讯接口
高性能开关型测试用电源的新经典

丰富多样的外部控制・应用 ──用模拟控制器/监控用端子对应各种应用场景
遥感

输出电压・电流的远距离监控和CV/CC信号
以PAV系列产品的输出电压・电流为比例,会输出0~5V,或者0~10V。此外,动作状态也会在CV恒压模式下为HIGH,CC恒流模式下为LOW。

并联运行(单一控制运行)
Max可并联连接6台PAV系列产品,可增加输出电流。

用外部电压控制输出电压・电流
通过从外部对PAV系列产品连接电压,可以控制输出电压以及输出电流。

输出ON/OFF控制
可以从外部控制PAV系列产品的ON/OFF。

菊花链连接
用多台PAV系列产品构建多电源系统,当其中1台电源发生故障时,可使其构成的电源输出全部停止。

串联运行
Max可串联连接2台PAV系列产品,可增加输出电压。也可对应双输出结构。

PS_OK信号
保护功能运作时通过TTL输出通知异常。正常动作状态下PS_OK级别为HIGH。

由外部电阻控制输出电压・电流
通过从外部对PAV系列产品,可以控制输出电压以及输出电流。

USB/RS232C/RS485控制
USB/RS232C/RS485接口为PAV系列产品的标准配备。Max可连接31台的PAV系列产品进行控制。此外,USB/RS232C/RS485接口内置在PAV系列产品的主机内。

并联运行/同步运行
可实现并联运行(相同额定的PAV系列产品)和同步运行(同步触发)。并且,通过使用选购件的机柜适配器KRA2-PAV(Max安装6台)及一半尺寸大小的一体化外壳CC01-PAV(Max安装3台)以实现一体化,进而使机柜组装以及可搬移性变得更加容易。
※即使不使用选购件的KRA2-PAV,CC01-PAV,也可实现并联运行与同步运行

选购件使用例
Max可达4.8kW(Max6台)
在19英寸的通用机柜上

集3台电源为一体
作为桌上型电源使用

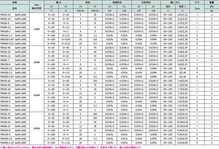
产品阵容

创芯仪






